今天是2026年05月28日 星期四

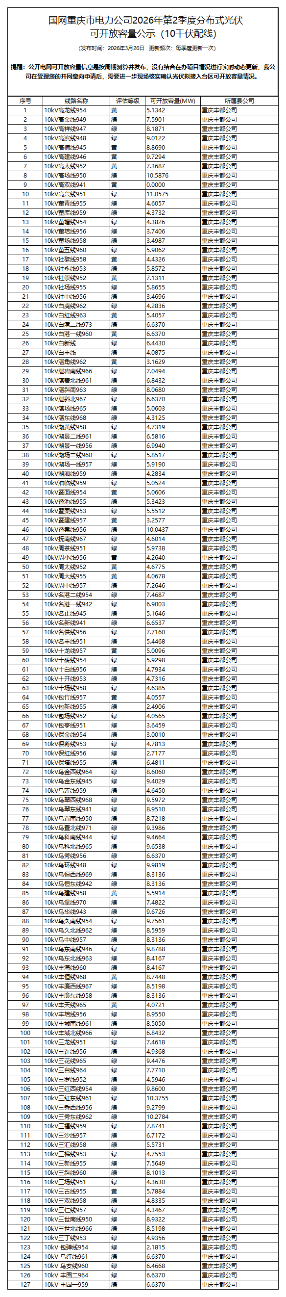
重庆丰都县2026年二季度分布式光伏可开放容量信息

来源:丰都县发展和改革委员会

发布时间:2026年04月08日

点击数: 630

4月3日,丰都县发展和改革委员会关于发布丰都县2026年二季度分布式光伏可开放容量信息的通知。

附件1:国网重庆市电力公司2026年第2季度分布式光伏可开放容量(10千伏配线)_Sheet1.png

附件3.国网重庆市电力公司2026年第2季度分布式光伏可开放容量(220-35千伏主变)_Sheet1.png

(查看全部文件请点击来源:丰都县发展和改革委员会)


特别声明:水电学会转载其他网站内容,出于传递更多信息而非盈利之目的,同时并不代表赞成其观点或证实其描述,内容仅供参考。版权归原作者所有,若有侵权,请联系我们删除。